Ответы
Ответ дал:
0
Ответ:
нет
ответа
Объяснение:
Ответ дал:
0
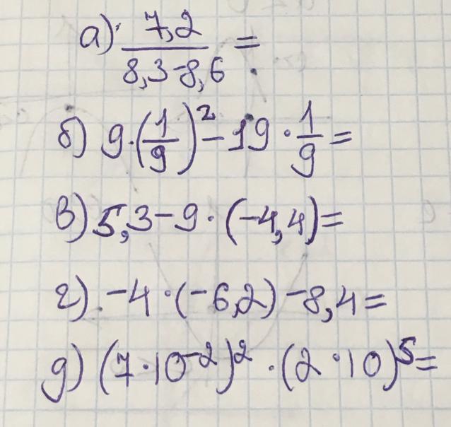
1)7,2/8,3-8,6=—(минус перед всей дробью)7,2/0,3=—24
2)9*(1/9)^2-19*1/9=—2.8/81(а вы уверены,что тут -19 умножить на 1/9?может вы имели в виду смешанное число минус 19 целых одна девятая?)
1.1/9^2=1/81
2.9*1/81=1/81
3.19*1/9=19/9
4.1/81-19/9=1/81-171/85=-170/81=-2.8/81(смешанное число-минус две целых восемь восемьдесят первых)
3)5,3-9(-4,4)=44,9
1.-9*(-4,4)=39,6
2.5,3+39.6=44.9
4)-4(-6,2)-8,4=16.4
1.-4(-6,2)=24.8
2.24.8-8.4=16.4
2)9*(1/9)^2-19*1/9=—2.8/81(а вы уверены,что тут -19 умножить на 1/9?может вы имели в виду смешанное число минус 19 целых одна девятая?)
1.1/9^2=1/81
2.9*1/81=1/81
3.19*1/9=19/9
4.1/81-19/9=1/81-171/85=-170/81=-2.8/81(смешанное число-минус две целых восемь восемьдесят первых)
3)5,3-9(-4,4)=44,9
1.-9*(-4,4)=39,6
2.5,3+39.6=44.9
4)-4(-6,2)-8,4=16.4
1.-4(-6,2)=24.8
2.24.8-8.4=16.4
Вас заинтересует
2 года назад
3 года назад
3 года назад
9 лет назад
9 лет назад