• Предмет: Математика
  • Автор: veraveranikitina
  • Вопрос задан 2 года назад

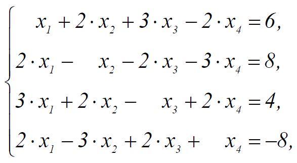
Решить систему линейных уравнений:

Приложения:

kirichekov: методом???
veraveranikitina: Гаусса
Vasily1975: Решение готово.

Ответы

Ответ дал: Vasily1975
0

Ответ: x1=1, x2=2, x3=-1, x4=-2.

Пошаговое объяснение:

1) Умножив четвёртое уравнение на 3, третье - на 2 и заменив четвёртое уравнение разностью четвёртого и третьего, получим систему:

x1+2*x2+3*x3-2*x4=6

2*x1-x2-2*x3-3*x4=8

3*x1+2*x2-x3+2*x4=4

-13*x2+8*x3-x4=-32  

2) Умножив третье уравнение на 2, второе - на 3 и заменив третье уравнение разностью третьего и второго, получим систему:

x1+2*x2+3*x3-2*x4=6

2*x1-x2-2*x3-3*x4=8

7*x2+4*x3+13*x4=-16

-13*x2+8*x3-x4=-32  

3) Умножив первое уравнение на 2 и заменив второе уравнение разностью второго и первого, получим систему:

x1+2*x2+3*x3-2*x4=6

-5*x2-8*x3+x4=-4

7*x2+4*x3+13*x4=-16

-13*x2+8*x3-x4=-32  

4) Умножив четвёртое уравнение на 7, третье - на 13 и заменив четвёртое уравнение суммой четвёртого и третьего, получим систему:

x1+2*x2+3*x3-2*x4=6

-5*x2-8*x3+x4=-4

7*x2+4*x3+13*x4=-16

108*x3+162*x4=-432

5) Умножив третье уравнение на 5, второе - на 7 и заменив третье уравнение суммой третьего и второго, получим систему:

x1+2*x2+3*x3-2*x4=6

-5*x2-8*x3+x4=-4

-36*x3+72*x4=-108

108*x3+162*x4=-432

6) Умножив третье уравнение на 3 и заменив четвёртое уравнение суммой четвёртого и третьего, получим систему:

x1+2*x2+3*x3-2*x4=6

-5*x2-8*x3+x4=-4

-36*x3+72*x4=-108

378*x4=-756

На этом прямой ход метода Гаусса закончен и начинается его обратный ход:

1) Из четвёртого уравнения последней системы находим x4=-2.

2) Подставляя значение x4 в третье уравнение последней системы, находим x3=-1.

3) Подставляя значения x3 и x4 во второе уравнение последней системы, находим x2=2.

4) Наконец, подставляя значения x2, x3 и x4 в первое уравнение любой системы, находим x1=1

Подставляя найденные значения в исходную систему, получаем:

1+4-3+4=6

2-2+2+6=8

3+4+1-4=4

2-6-2-2=-8,

что соответствует правым частям уравнений. Значит, решение найдено верно.


Vasily1975: Исправил текст решения.
Вас заинтересует