Ответы
                                            Ответ дал: 
                                                                                    
                                        
                                            
                                                
                                                
                                                
                                                    1
                                                
                                            
                                        
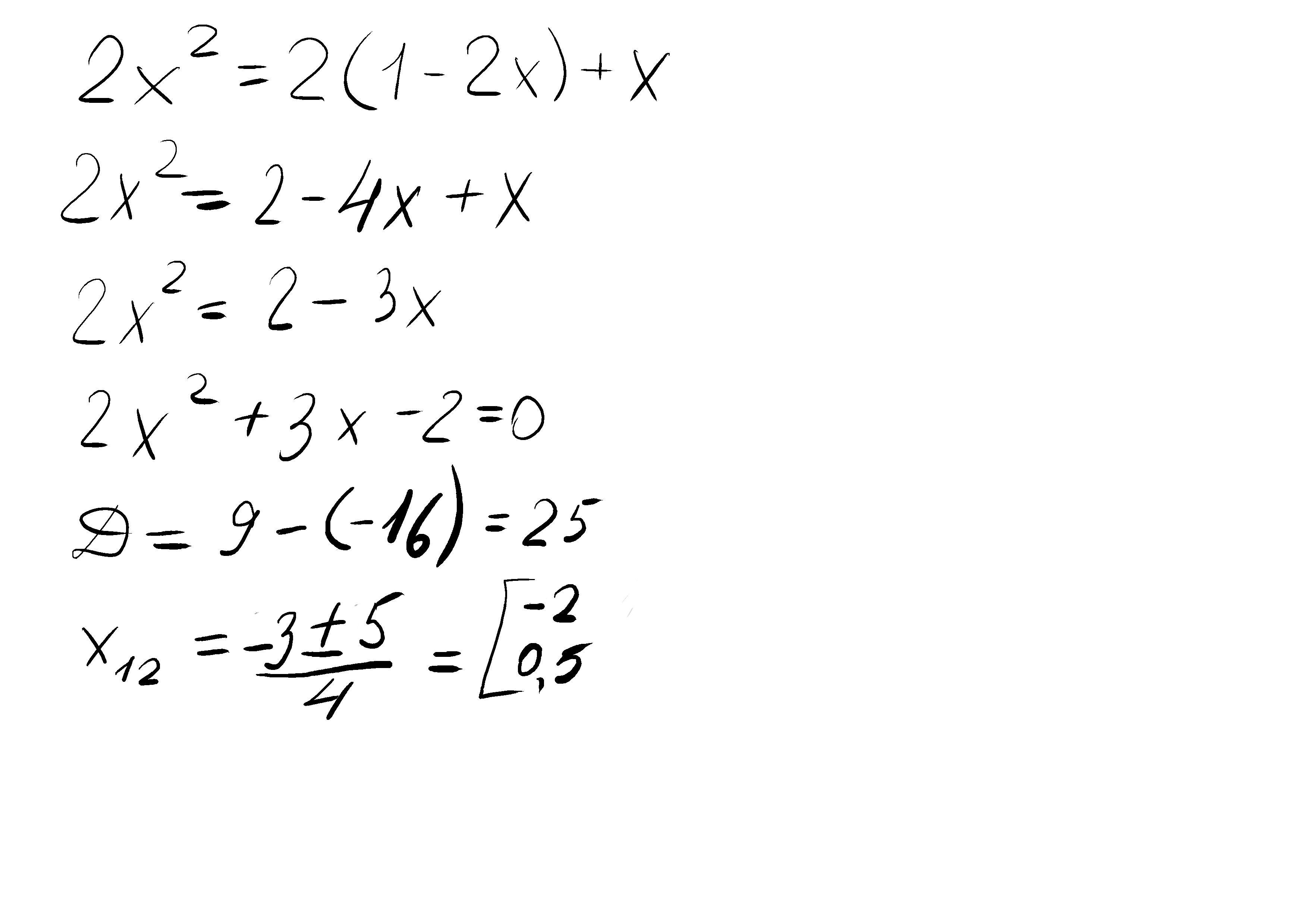
                                    Ответ: -2; 0,5.
Подробное решение на фото. Удачи :)
Приложения:
                    
                            
                            
                                            Ответ дал: 
                                                                                    
                                        
                                            
                                                
                                                
                                                
                                                    1
                                                
                                            
                                        
                                    Ответ:
x₁ = -2 ; x₂ = 0,5
Объяснение:
- Раскрываем скобки
 - Переносим всё в одну сторону
 - Решаем квадратное уравнение через дискриминант
 - Находим корни уравнения
 
Приложения:
                    
                            Вас заинтересует
                
                        1 год назад
                    
                
                        1 год назад
                    
                
                        2 года назад
                    
                
                        3 года назад
                    
                
                        3 года назад