Ответы
Ответ дал:
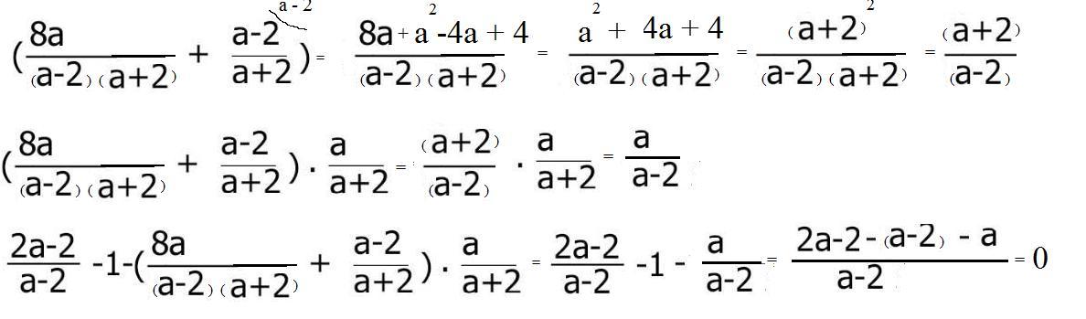
0
cм. приложение
-------------------------------------------------------------------------
Приложения:

Вас заинтересует
1 год назад
1 год назад
2 года назад
2 года назад
8 лет назад