Ответы
Ответ дал:
0
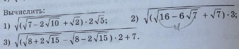
Смотреть фото, всё расписано!
Приложения:

Вас заинтересует
1 год назад
2 года назад
3 года назад
3 года назад