• Предмет: Математика
  • Автор: Nait13
  • Вопрос задан 2 года назад

72(x+3)+72(x-3)=10(x^2-9)
путаюсь когда пытаюсь подвести к дискриминанту квадратного уравнения

Ответы

Ответ дал: alinaarefieva6
0

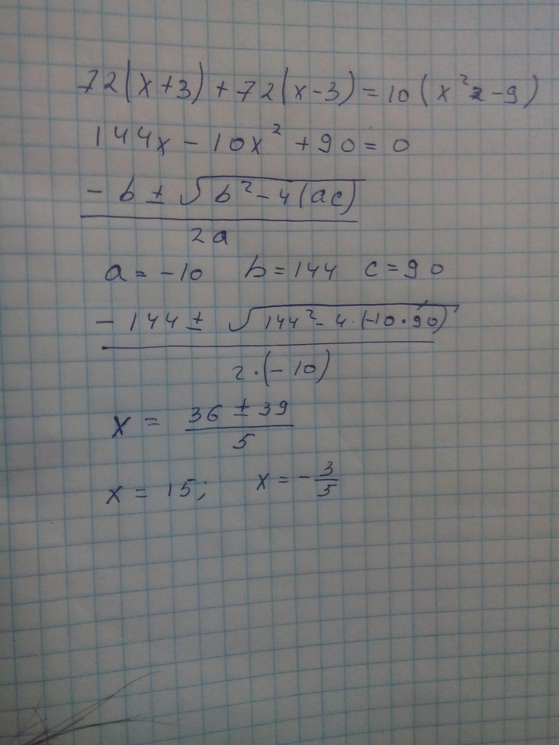
Ответ:

Вроде так все должно быть

Приложения:
Ответ дал: EHOT2281337
0

72(x+3)+72(x-3)=10(x^2-9)

Делим обе части на 2 и получаем:

36(х+3)+36(х-3)=5(х²-9)

36х+108+36х-108=5х²-45

72х=5х²-45

Переносим все влево и получаем:

-5х²+72х+45=0

Домножаем на -1:

5х²-72х-45=0

Д=(-72)²-4*5*(-45)=5184+900=6084

х1=72+√6084\2*5=72+78\10=150\10=15

х2=72-78\10=-0,6

Ответ:15;-0,6.

Вас заинтересует