Ответы
Ответ дал:
1
Решение на картинке ниже ↓
Приложения:
djejrjrert771:
3 номер не понятен
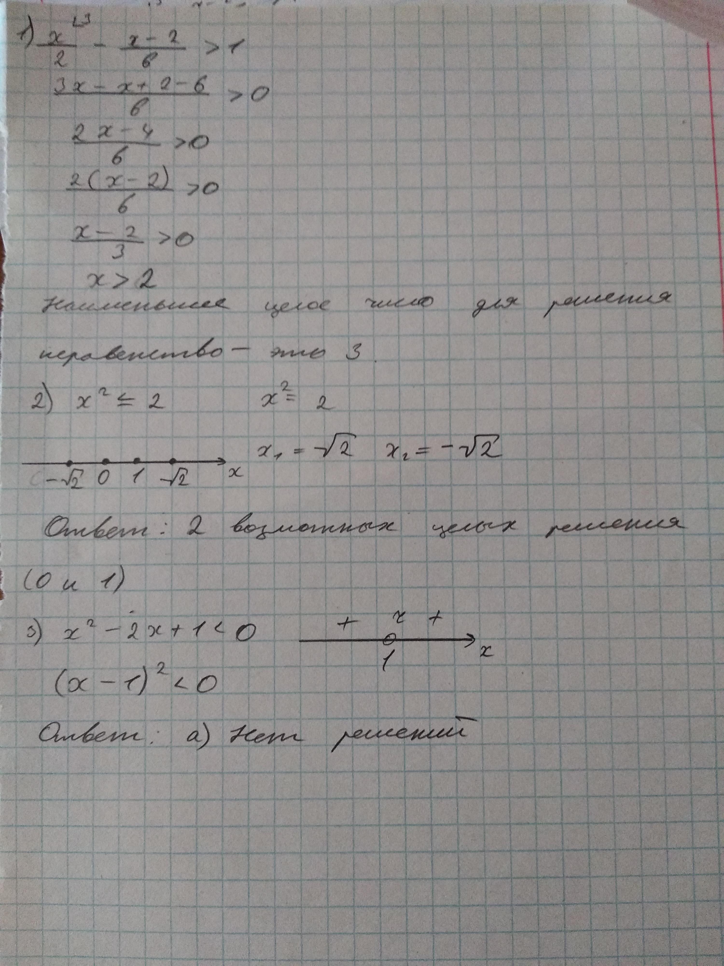
При использовании формулы сокращенного умножения мы получаем (x-1)^2<0
Находим корень (корни их 2, но они совпадают), приравнивая уравнение к 0 (x-1)^2=0 => x=1
Т. к. 2 корня этого уравнения совпадают, то ставят букву ч (четное), что означает, что знак не меняется, поэтому стоят два +
А по скольку нам нужно < (т. е. -), то решений нет (сама точка тоже не считается, т. к. она выколота)
Находим корень (корни их 2, но они совпадают), приравнивая уравнение к 0 (x-1)^2=0 => x=1
Т. к. 2 корня этого уравнения совпадают, то ставят букву ч (четное), что означает, что знак не меняется, поэтому стоят два +
А по скольку нам нужно < (т. е. -), то решений нет (сама точка тоже не считается, т. к. она выколота)
Спасибо
А можете ещё 1 задание обьяснить ?
А можете ещё 1 задание обьяснить ?
Вас заинтересует
2 года назад
2 года назад
2 года назад
2 года назад
3 года назад
3 года назад
9 лет назад
9 лет назад