• Предмет: Алгебра
  • Автор: grigorevk408
  • Вопрос задан 2 года назад

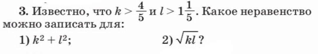
Решите пожалуйста задачу на вложении

Приложения:

Ответы

Ответ дал: NNNLLL54
0

k>\frac{4}{5}\; \; \to \; \; \; k^2>\frac{16}{25}\\\\l>1\frac{1}{5}=\frac{6}{5}\; \; \; \to \; \; \; l^2>\frac{36}{25}\\\\\\a)\; \; k^2+l^2>\frac{16}{25}+\frac{36}{25}=\frac{52}{25}=2\frac{2}{25}\\\\b)\; \; \sqrt{kl}>\sqrt{\frac{4}{5}\cdot \frac{6}{5}}=\frac{2}{5}\sqrt6

Вас заинтересует