ПОМОГИТЕ ПРОШУ С АЛГЕБРА 9 КЛАСС(углубленный уровень)!! СРОЧНО!!! ДАЮ 40 БАЛЛОВ!!!
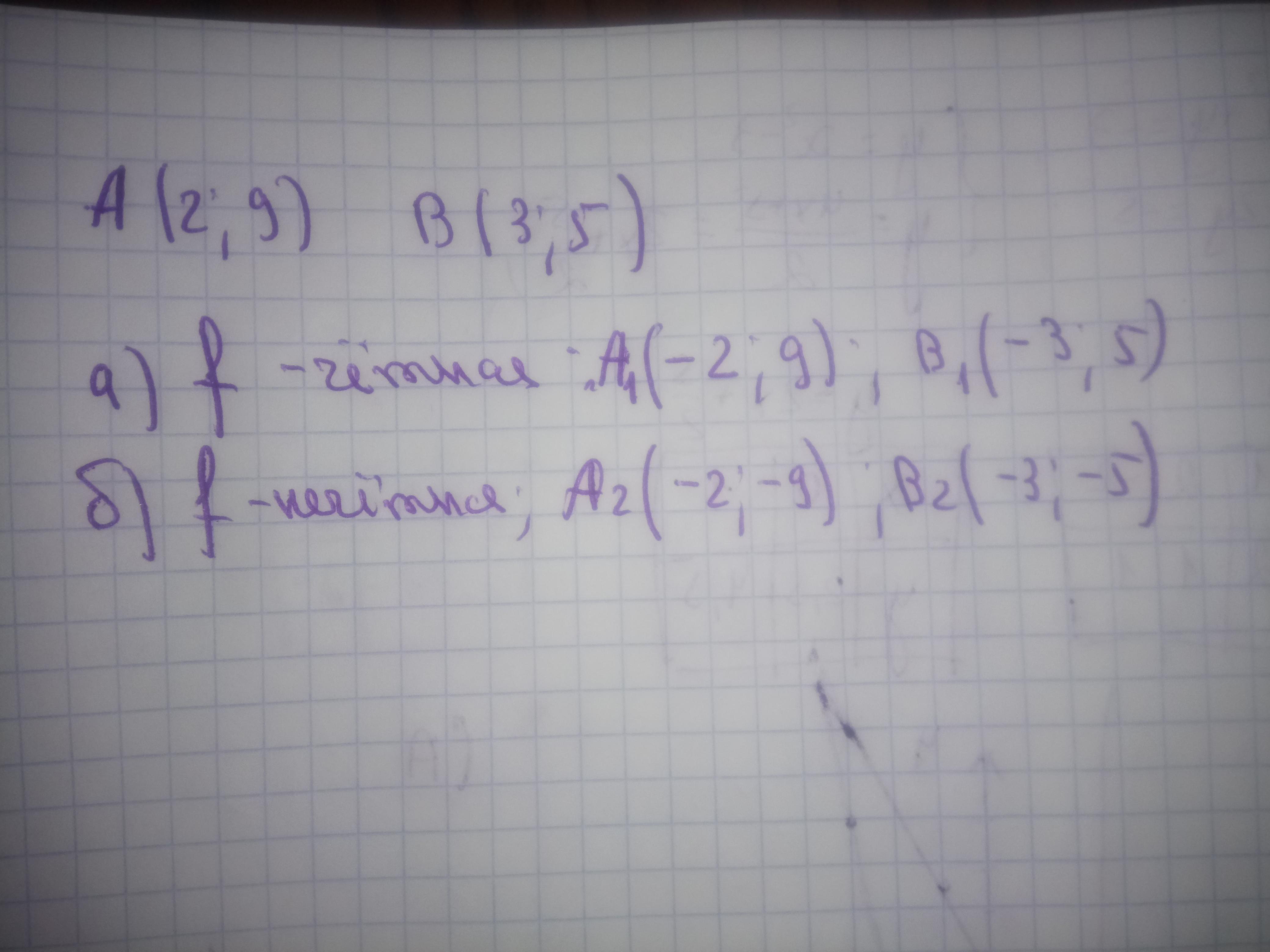
Зная, что график функции f проходит через точки А(2;9) и В(3;5), укажите другие точки графика этой функции, если:
а) f - чётная функция; б) f - нечётная функция.
Ответы
Ответ дал:
2
Решение задания приложено
Приложения:

kirochka2611:
Молодец! Все правильно!) Спасибо ты меня очень выручила)
Вас заинтересует
1 год назад
1 год назад
3 года назад
3 года назад
8 лет назад