• Предмет: Математика
  • Автор: naxa2004
  • Вопрос задан 2 года назад

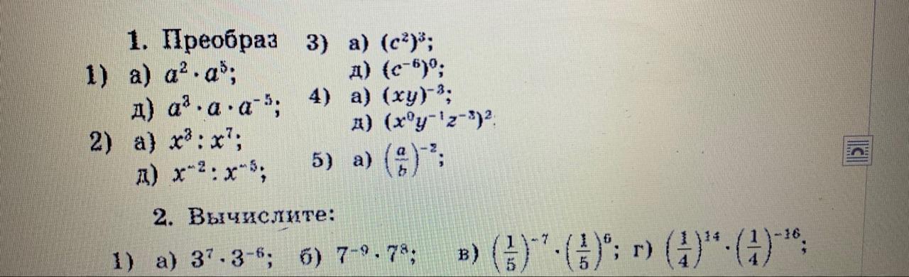
Помогите решить пожалуйста

Приложения:

Ответы

Ответ дал: kruglenkonata804
0

Ответ:

1)а)=а^7

д)=а^-1

2)а)=х^-4

д)=х^3

3)а)=с^6

д)=с^0

4)а)=х^-3у^-3

д)=х^0у^-2z^-6

5)=a^-2/b^-2

2. 1)a=3^1=3

б)=7^-1=1/7

в)=1^-1/5^-1=1:1/5=5

г)=1^-2/4^-2=1/1^2:1/4^2=1:1/16=16

Ответ дал: 1106200325
0

Ответ:

a2×a5=a2+5=a7

a3×a×a-5=a3+1-5=a-4

2) x3÷x7=x3-7=x-4

x-2÷x-5=x-2-5=x-7

3) (c2)3=c2×3=c6

(c-6)0=c-6

4) (xy)-3=xy-3

(x0y-1z-3)2=xyz0-1-3=xyz-4

5) (a/b)-2=a-2b-2=ab-4

Вас заинтересует