Здравствуйте, помогите пожалуйста, что только не пробовал, не получается сделать. Нужно решить это уравнение через формулы в Excel. И должны получиться значения. У меня получилось вот такая формула, но чего-то не хватает, не пойму чего.
=ЕСЛИ(ИЛИ(A2<-8;A2>=1;A2<>3;A2<>2;A2<=4);A2*EXP(1)^1/A2^2);ЕСЛИ(ИЛИ(A2<1;A2>=-4;A2=3);СУММ(1/TAN(СУММ(A2^2;5));TAN(СУММ(A2;4,5))^2));ЕСЛИ(ИЛИ(A2>4;A2<>7;A2=-5);КОРЕНЬ(СУММ(ABS(A2)/3;A2*A2)));ЕСЛИ(ИЛИ(A2<-4;A2=7;A2<>-5;A2>=-8);LOG(A2*A2*A2*A2;4))

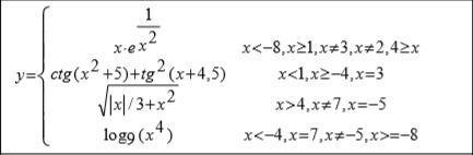
Вот условие, а на скриншоте ниже, само уравнение.

Задание1. Расставить согласующиеся логические элементы в условиях и выполнить расчет у для целых значений x от -15 до 15. Условия не должны противоречить друг другу. Задания по вариантам указаны в табл. 1.

Приложения:

Lortezar: Щас попробую, но как получить единое число? ведь все числа, для каждого уравнения будут разными, и мне нужна ведь общая формула
Simba2017: я не знаю для чего такое большое и нерациональное задание дано- просто чтобы поизмываться над вами?
Simba2017: реальные программы такими длинными формулами не пользуются
Simba2017: так что дело ваше, я написала как бы я сделала, а вы решайте сами как...
Lortezar: Ну смотрите я сделал так как вы сказали, для первого уравнения, получились значения y, для второго щас получатся другие, и как понять где конечный ответ? ведь это все система
Simba2017: у вас задание посчитать у для всех х
Lortezar: Да, получились все значения y
Lortezar: Теперь буду думать, как объединить это все в одну большую и глупую формулу...
Lortezar: Спасибо.
answer2020: Готово, принимайте.

Ответы

Ответ дал: answer2020
3

Первый столбец - начиная с A14 по A44

Второй столбец - начиная с B14 по B44

В первом размещаем числа от 15 до 15 (значения аргумента)

В B14 пишем формулу =A14*EXP(1/A14^2)*(ЦЕЛОЕ((2-ЗНАК(A14-4))/2)*ЦЕЛОЕ((2+ЗНАК(A14-1))/2)*ABS(ЗНАК(A14-3))*ABS(ЗНАК(A14-2))+ЦЕЛОЕ((1-ЗНАК(A14+8))/2))+(1/TAN(A14^2+5)+(TAN(A14+4,5))^2)*(ЦЕЛОЕ((1-ЗНАК(A14-1))/2)*ЦЕЛОЕ((2+ЗНАК(A14+4))/2)+1-ABS(ЗНАК(A14-3)))+(ABS(A14)/3+A14^2)^0,5*(ЦЕЛОЕ((1+ЗНАК(A14-4))/2)*ABS(ЗНАК(A14-7))+1-ABS(ЗНАК(A14+5)))+LOG(A14^4;9)*(ЦЕЛОЕ((1-ЗНАК(A14+4))/2)*ЦЕЛОЕ((2+ЗНАК(A14+8))/2)*ABS(ЗНАК(A14+5))+1-ABS(ЗНАК(A14-7)))

И растягиваем ее вниз до B44

Получаем два вот таких столбца (обратите внимание, при аргументе равном нулю возникает ошибка деления на ноль):

-15 -15,06681503

-14 -14,0716111

-13 -13,07715111

-12 -12,08362336

-11 -11,09128579

-10 -10,10050167

-9 -9,111799813

-8 3,785578521

-7 3,542487498

-6 3,261859507

-5 5,163977795

-4 -0,356218705

-3 198,9880782

-2 -1,652803098

-1 -3,296038602

0 #ДЕЛ/0!

1 2,718281828

2 0

3 7,460544767

4 4,257977836

5 5,163977795

6 6,164414003

7 3,542487498

8 8,164965809

9 9,16515139

10 10,16530045

11 11,16542282

12 12,16552506

13 13,16561177

14 14,16568624

15 15,16575089

Формула незамысловатая, но занудная от однообразия.

Выводится следующим образом.

1) Выписываем четыре формулы и выясняем область определения для каждой из функций.

2) Для границ и отдельных значений из области определения описываем отдельную функцию Хевисайда, которая принимает значение 1 при соблюдении условия и 0 при несоблюдении условия.

3) Компонуем полученные функции по "И" и "ИЛИ" (умножить или сложить), получаем бинарную функцию.

4) Умножаем каждую из четырех формул на соответствующую бинарную функцию.

5) Складываем полученные произведения.


answer2020: Забыл добавить условие про x<-8. Пришлите не исправление пожалуйста.
answer2020: Исправил.
Lortezar: Добрый день, если вставляю эту формулу в Excel, то ничего не происходит, она не полная? нужно добавлять И или ИЛИ, да?
answer2020: Значение аргумента следует задать в ячейке A14. После этого в ячейке с формулой отобразится значение функции.
answer2020: Все И и ИЛИ в формуле уже посчитаны. Формула рабочая, проверенная.
Аноним: Если вы разбираетесь в дискретной математике, могли вы бы мне помочь?(
Lortezar: Спасибо большое!
Вас заинтересует