• Предмет: Алгебра
  • Автор: Anasta200512
  • Вопрос задан 2 года назад

Помогите пожалуйста

Приложения:

Ответы

Ответ дал: gnomiha211
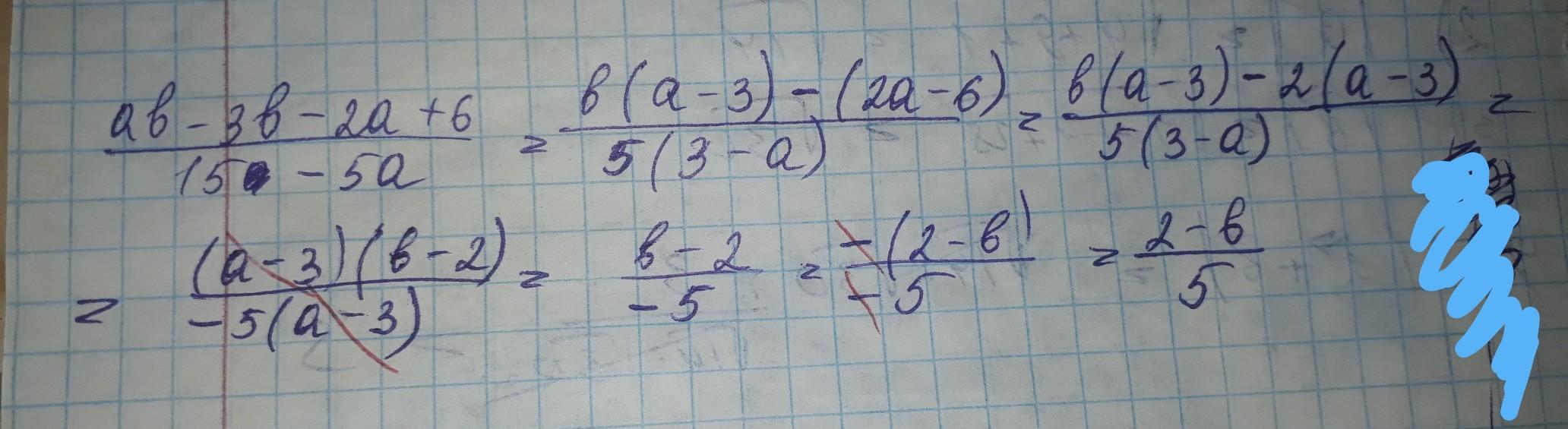
1
Решение на фотографии
Приложения:
Вас заинтересует