Ответы
Ответ дал:
1
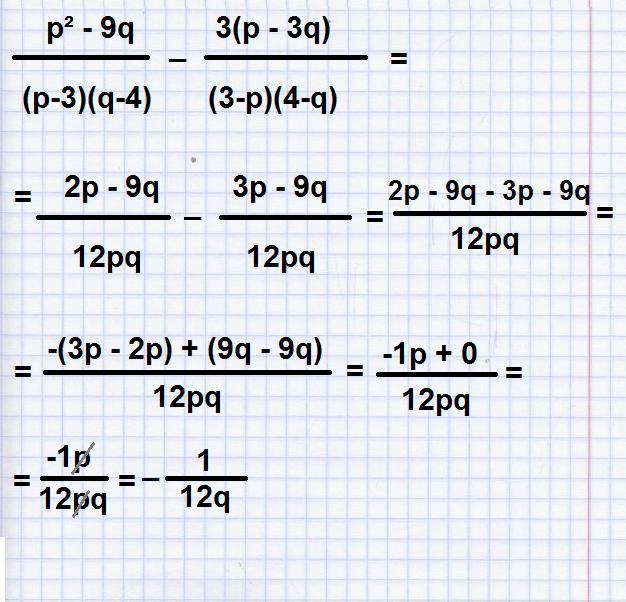
Ответ: -1/12q
надеюсь правильно :')
Приложения:

Sana0005:
спасибо (^_-)
Вас заинтересует
1 год назад
1 год назад
2 года назад
2 года назад
3 года назад
3 года назад
8 лет назад