ПОМОГИТЕ ПОЖАЛУЙСТА РЕШИТЬ ОЧЕНЬ УСТАЛ УЖЕ!!!!!
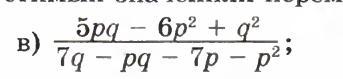
Сократите дробь при допустимых значениях переменных
Приложения:

Ответы
Ответ дал:
1
разложим числитель
5pq - 6p2 + q^2 решаем относительно q
D= (5p)^2 - 4*1*(-6p^2) = 25p^2 + 24p^2 = 49p^2
q12=(-5p +- 7p)/2 = -6p p
5pq - 6p2 + q^2 = (q - p)(q + 6p)
зазложим знаменатель
7q - pq - 7p - p^2 = -p^2 - p(q+7) + 7q
D=(q+7)^2 - 28q
p12 = (q+7 +- √D)/2 ничего не сокращается
видимо перепутан знак и надо 7q - pq - 7p + p^2 = 7(q-p) - p(q-p) = (q-p)(7-p)
при сокращении (q - p)(q + 6p)/ (q-p)(7-p) = (q + 6p)/(7 - p)
дважды ошиблись - в задаче и ответе }}}}}} как мягко выразится - олени млин .....
Ну и тебе лично конечно огромное спасибо <3
1. составитель составил нерешаемую задачу
2. ошибка в написании задачи
3. очень много описок в ответах, что ответ не такой
-----------
приносите судя непонятки кто нибудь да ответит и не только модераторы
много умных людей на ресурсе }}}}}}}}}
Вас заинтересует
2 года назад
2 года назад
3 года назад
3 года назад
8 лет назад
8 лет назад
6p+q/7(1 - p)