• Предмет: Математика
  • Автор: sayanara91
  • Вопрос задан 2 года назад

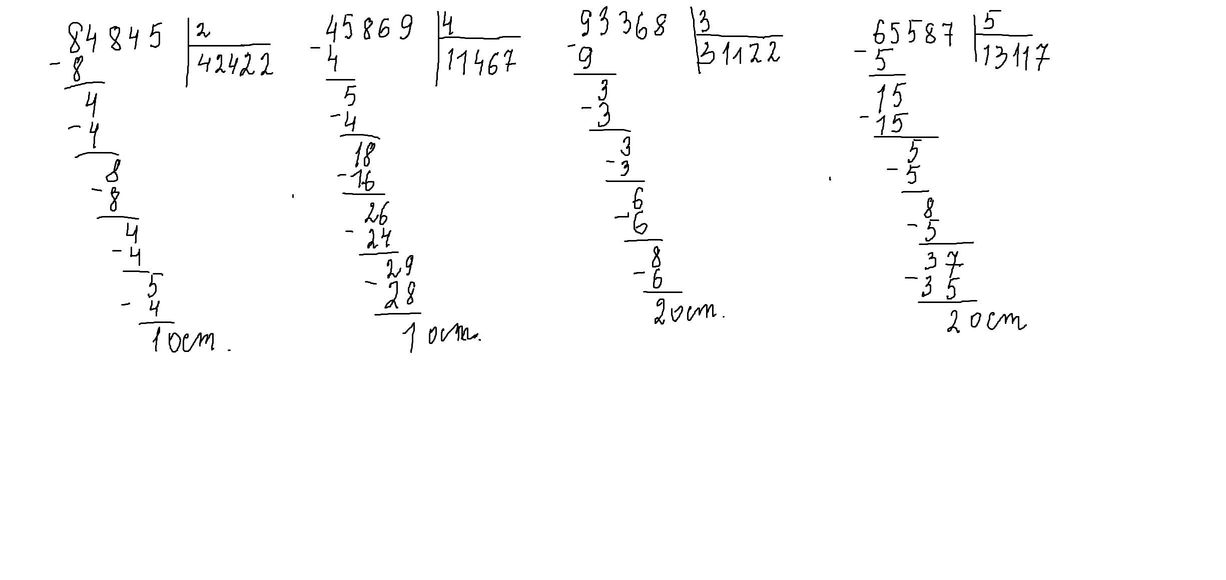
Номер 10 Б) Помогите пожалуйста Даю 15 Баллов!!!

Приложения:

Ответы

Ответ дал: fullsun37
1

Ответ:

84 845÷2=42 422,5

45 869÷4=11 467,25

93 368÷3=31 122,66667

65 587÷5=13 117,4

Ответ дал: parus77
1

Ответ:

Пошаговое объяснение:

решение смотри внизу

Приложения:
Вас заинтересует