Помогите пожалуйста.Нужно найти произведение или частное.Если можно,то развёрнутый ответ
Приложения:

Ответы
Ответ дал:
2
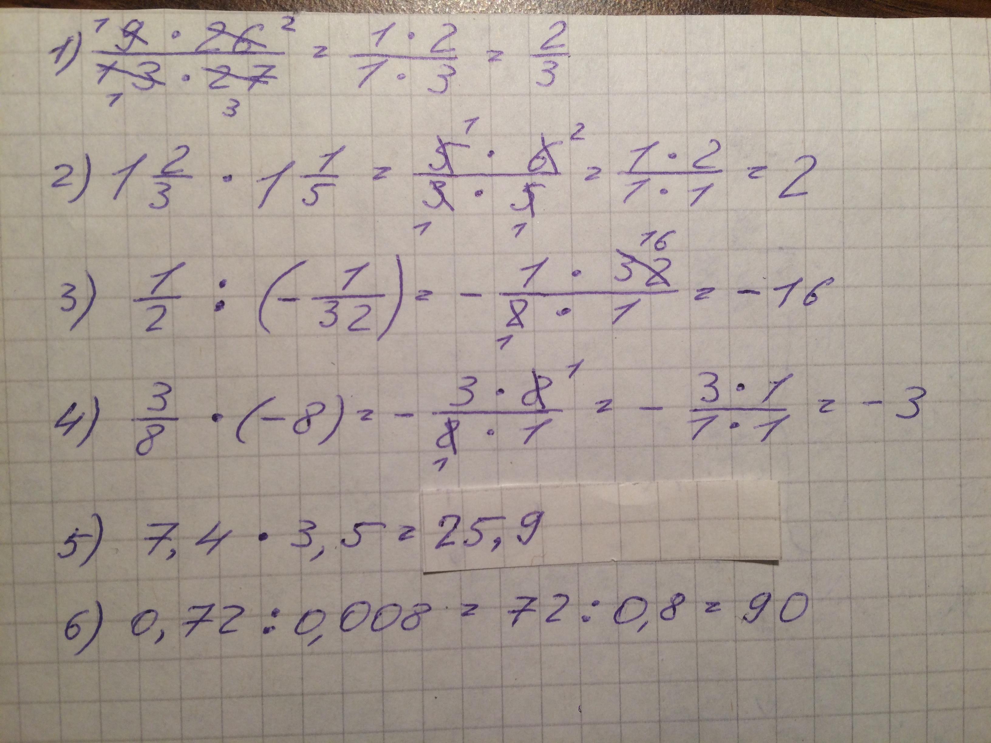
Ответ:
Решение прикрепила.
Приложения:

Вас заинтересует
1 год назад
2 года назад
2 года назад
3 года назад
8 лет назад
(В щеки цемаю❤️)