• Предмет: Алгебра
  • Автор: pops246pops
  • Вопрос задан 2 года назад

2х²-2х+½
помогите решить ​


dnepr1: А что же тут решать, если дан только квадратный трёхчлен???
dnepr1: Так надо было в конце поставить: = 0!!! Тогда находится переменная при таком условии.

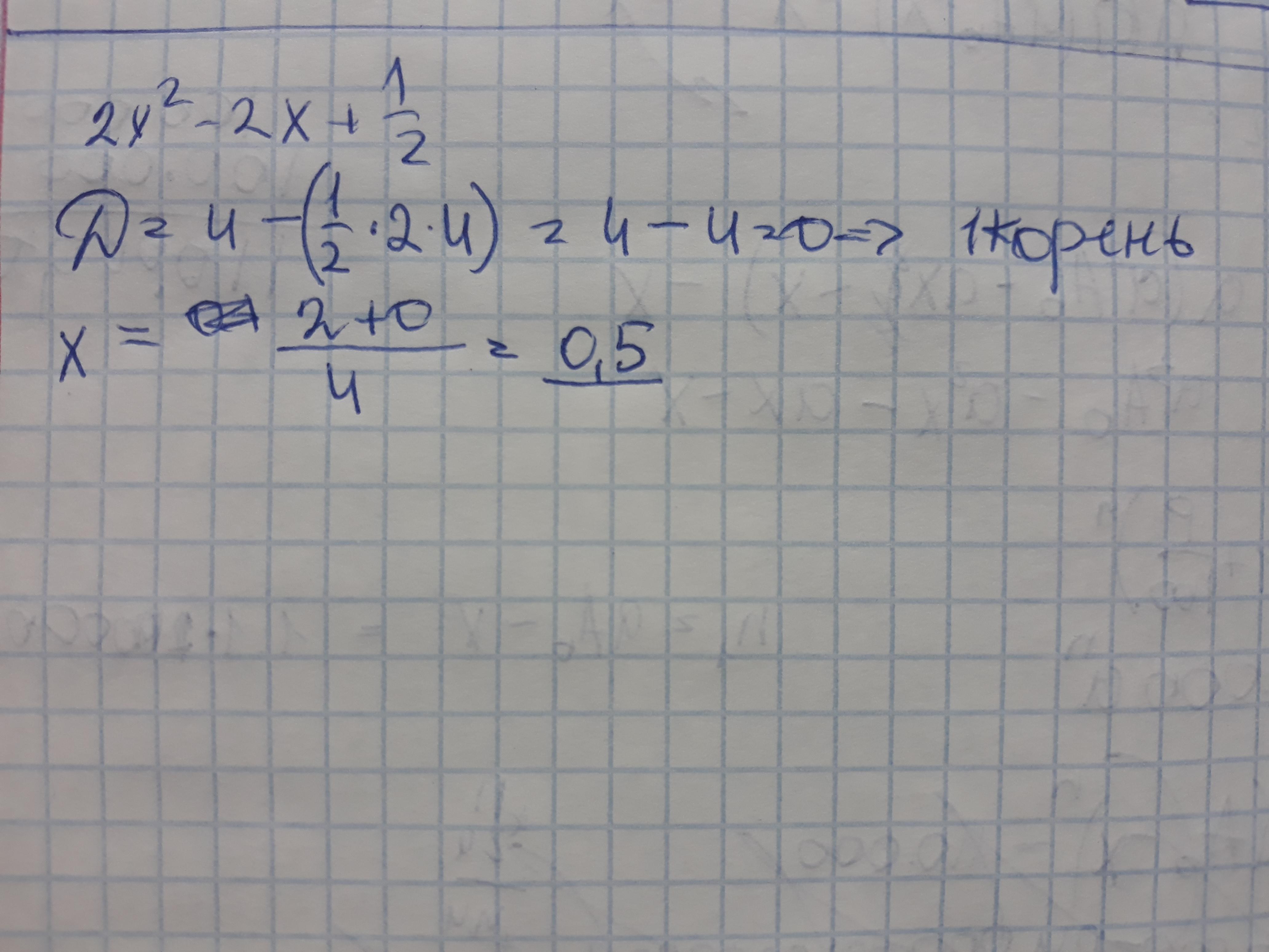
Ответы

Ответ дал: Darvene
2

Ответ:0,5

Объяснение:

на фото

Приложения:
Ответ дал: tyt20
0
............................
Приложения:
Вас заинтересует