Ответы
Ответ дал:
1
Ответ:
4
Пошаговое объяснение:
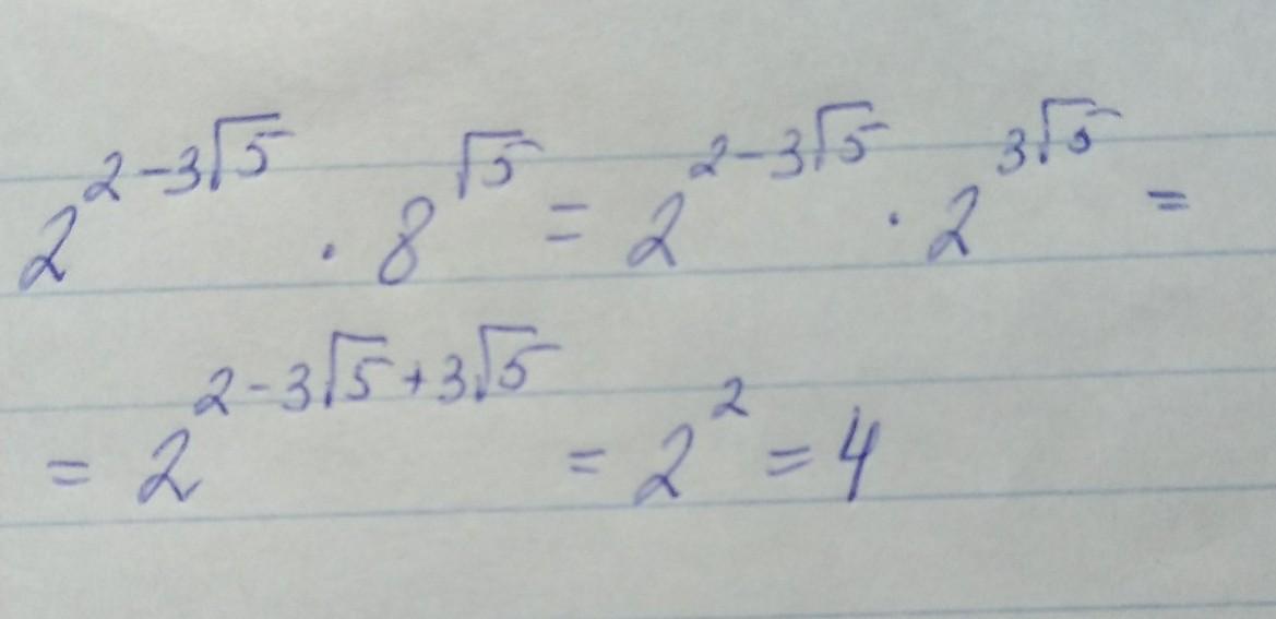
Решение на фото..........
Приложения:

felisitifornow14:
Спасибо помог
Ответ дал:
1
Ответ:
Пошаговое объяснение:
2²⁻³⁵⁵·8⁵⁵=2⁻³⁵³·(2³)⁵⁵=2⁻³⁵³·2¹⁶⁵=2¹⁶⁵⁻³⁵³=2⁻¹⁸⁸
Если это не 5, а б(b), то тогда так:
2²⁻³ᵇ⁵·8ᵇ⁵=2²⁻³ᵇ⁵·(2³)ᵇ⁵=2²⁻¹⁵ᵇ·2¹⁵ᵇ=2²⁻¹⁵ᵇ⁺¹⁵ᵇ=2²=4
Вас заинтересует
1 год назад
1 год назад
2 года назад
3 года назад
8 лет назад