• Предмет: Математика
  • Автор: lese4444ka
  • Вопрос задан 2 года назад

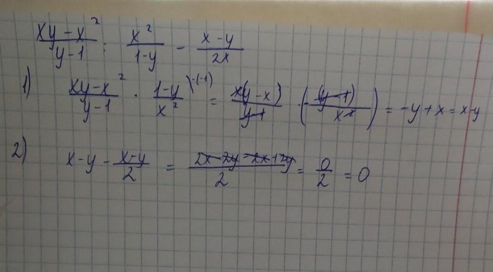
упростите с действиями​

Приложения:

Ответы

Ответ дал: ЯгодкаЯлесная
1

Ответ:

фоточка тебе в помощь;)

Приложения:

pogalyista: помогите мне пожалуйста по математике
Ответ дал: whoiam02
1

Пошаговое объяснение:

Решение на фото..........

Приложения:
Вас заинтересует