• Предмет: Математика
  • Автор: leoniaboleeff
  • Вопрос задан 2 года назад

Помогите Пожалуйста. Высшая математика тема производные

Приложения:

Ответы

Ответ дал: Nastya808080
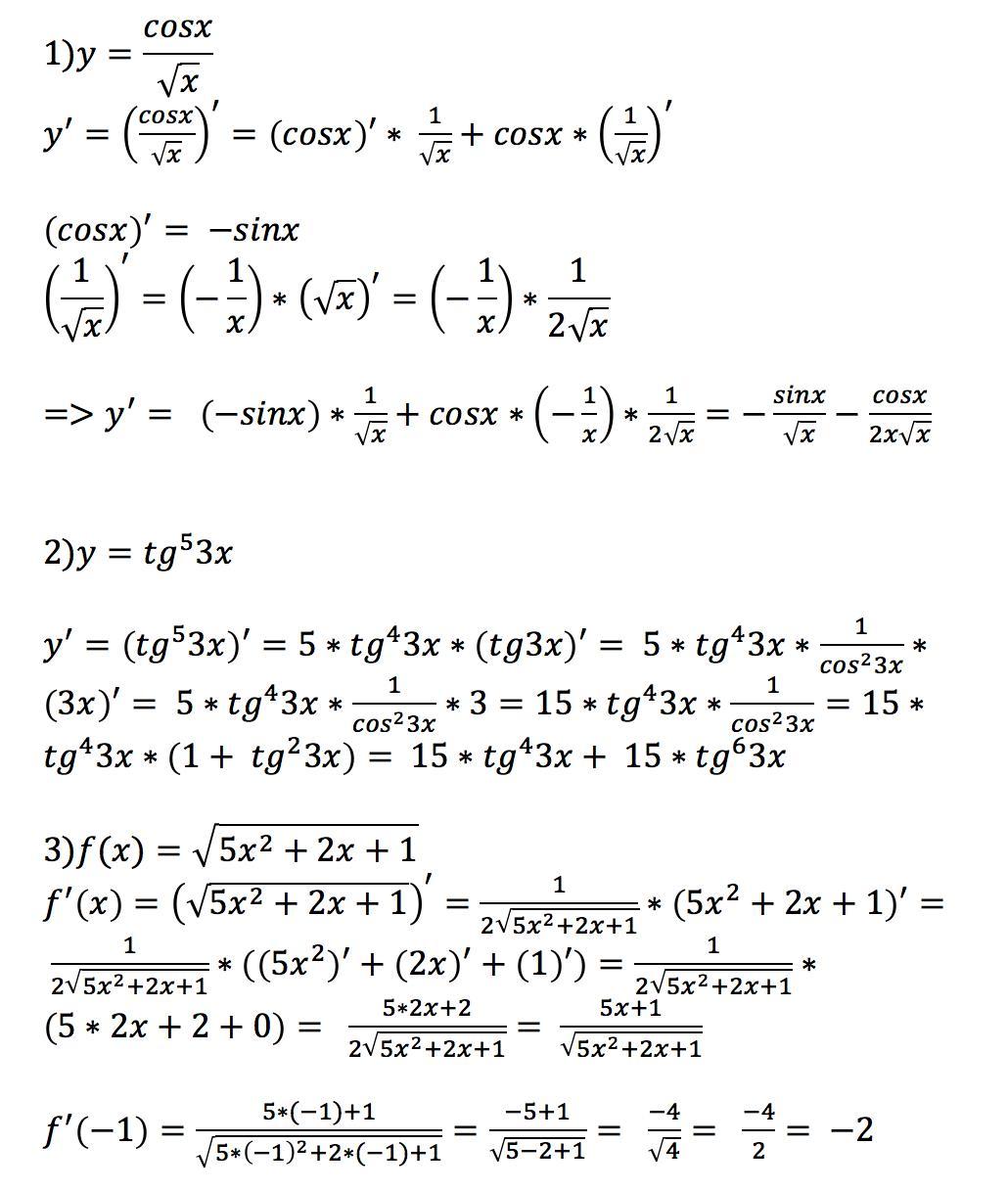
1

Ответ:

1) -\frac{sinx}{\sqrt{x}} -\frac{sinx}{2x\sqrt{x}}\\2) 15*tg^{4}3x+ 15*tg^{6}3x\\3) -2

Пошаговое объяснение:

Приложения:

leoniaboleeff: Спасибо но можно тебя попрасить еще 9 заданий сделать ?
Nastya808080: Какие?
leoniaboleeff: так же по производным
leoniaboleeff: Поможешь?
Nastya808080: Ок
Вас заинтересует