• Предмет: Алгебра
  • Автор: kirich8899
  • Вопрос задан 2 года назад

ПОМОГИТЕ РЕШИТЬ НА ЗАВТРА, ДАЮ 20 БАЛЛОВ
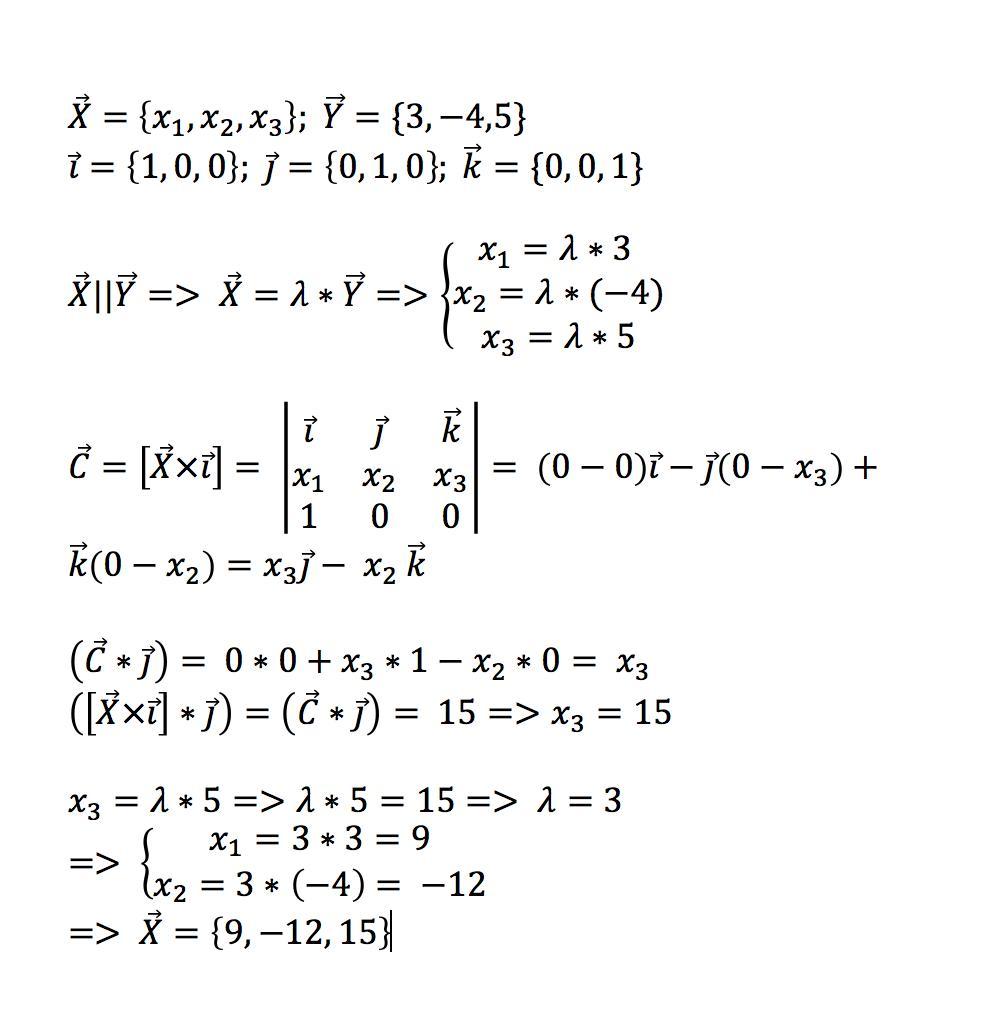
Найти вектор х, удовлетворяющий данным условиям:
x||{3,-4,5}; (Xxi)*j=15
Вектор х параллелен {3,-4,5}. Смешанное произведение X, i, j(единичные векторы) равно 15

Ответы

Ответ дал: Nastya808080
1

Ответ:

{9, -12, 15}

Объяснение:

Приложения:
Вас заинтересует