• Предмет: Алгебра
  • Автор: katygreyf2005
  • Вопрос задан 2 года назад

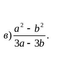
Сократить дробь, пожалуйста

Приложения:

Ответы

Ответ дал: Лиза21129
2

Ответ:

 \frac{a + b}{3}

Вас заинтересует