Ответы
Ответ дал:
0
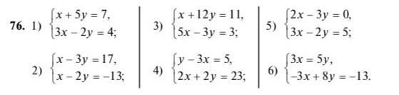
Ответ: Вообщем, у меня что-то не получилось 3,4 и 6
Объяснение:
Приложения:


Вас заинтересует
1 год назад
2 года назад
3 года назад
3 года назад
8 лет назад