• Предмет: Математика
  • Автор: dzuleka
  • Вопрос задан 2 года назад

Очень срочно нужно я не знаю как сделать мне надо на завтра.Плизззз.

Приложения:

parus77: только в)?
dzuleka: Да

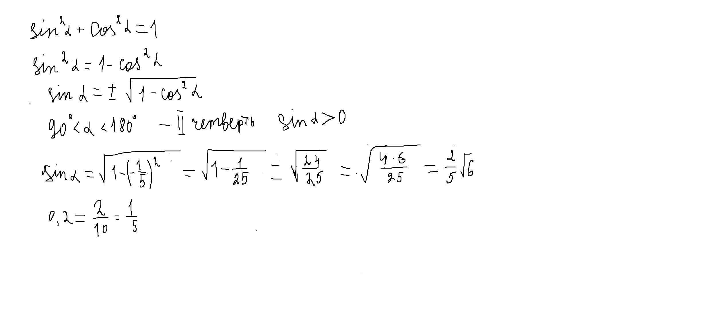
Ответы

Ответ дал: parus77
1

Ответ:

Пошаговое объяснение:

решение внизу

Приложения:
Вас заинтересует