• Предмет: Алгебра
  • Автор: trr3eter
  • Вопрос задан 2 года назад

Помогите пожалуйста

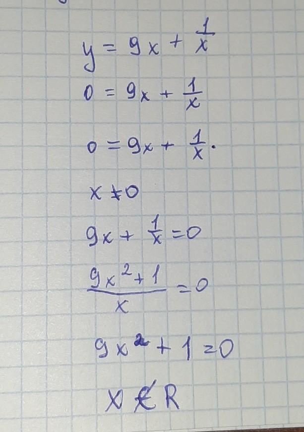
Найдите область значений функции

y=9x+1/x

Приложения:

Ответы

Ответ дал: mgmdva2003
1

Ответ:

область определения x не равно 0

Приложения:
Вас заинтересует