• Предмет: Алгебра
  • Автор: EgorZeroZ
  • Вопрос задан 2 года назад

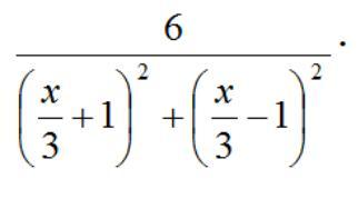
Найдите наибольшее значение выражения

Приложения:

Ответы

Ответ дал: Аноним
0

6/((х+3)²/9)+((х-3²)/9)=6*9/((х+3)²+(х-3)²)=54/(х²+6х+9+х²-6х+9)=

54/(2х²+18)

Наибольшее значение выражения будет при условии наименьшего знаменателя, а он будет наименьшим, когда х=0, во всех остальных случаях х² будет больше нуля, значит, наибольшее значение выражения равно 54/18=3

Вас заинтересует