• Предмет: Математика
  • Автор: maximdmedvedev
  • Вопрос задан 2 года назад

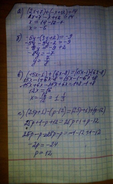
При каком значении переменой:
а) сумма выражений 2х+7 и -х + 12 равна 14;
б) разность выражений -5у и 3у+2 равна -9
в) сумма выражений 15х-1 и 6х-8 равна их разности
г) разность выражений 25р+1 и р-12 равна их сумме

Ответы

Ответ дал: Вероника8
6

Ответ:

на фото

Пошаговое объяснение:

Приложения:
Вас заинтересует