Ответы
Ответ дал:
2
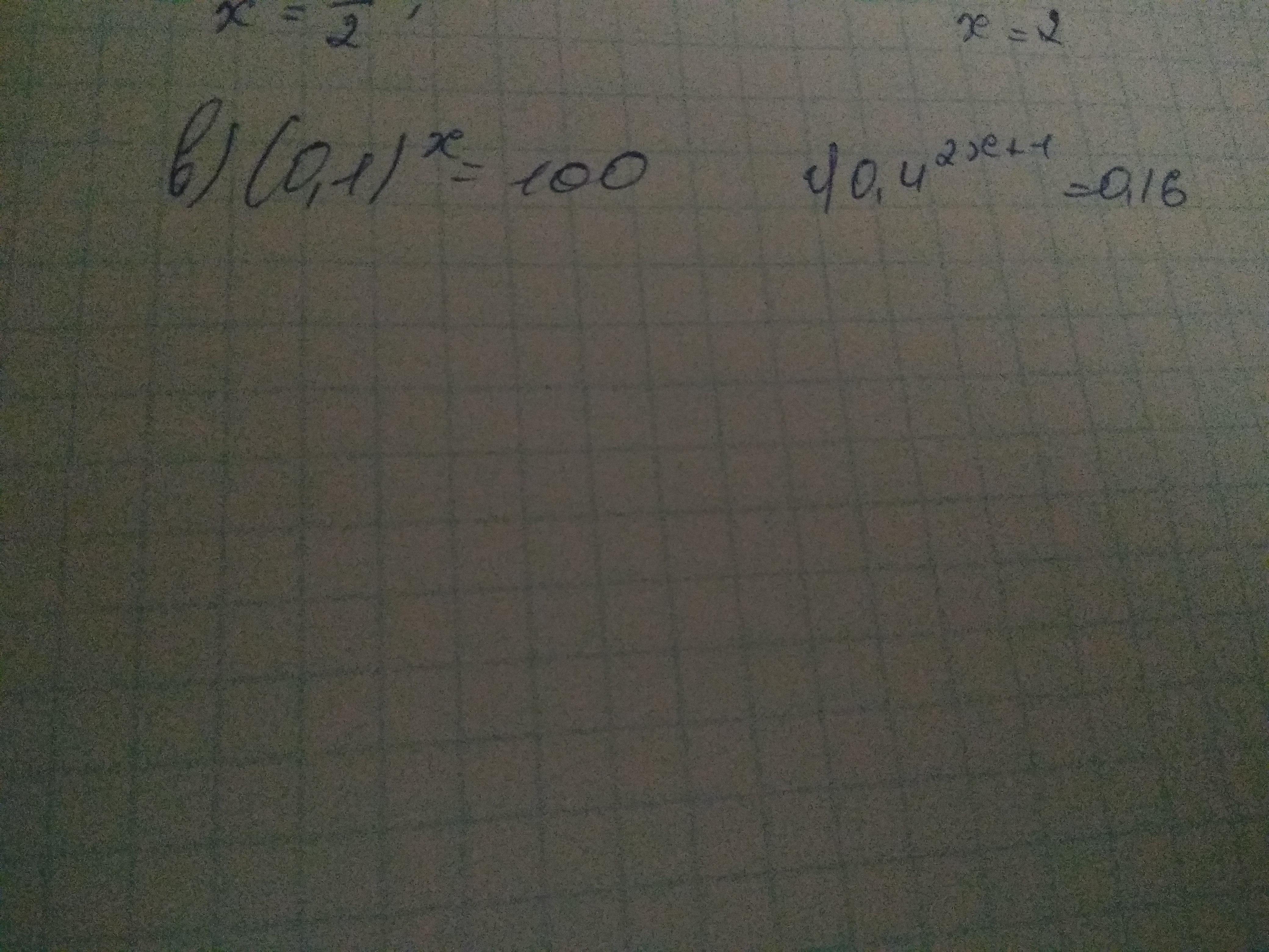
В) (0,1)^х=100
10^-х=10^2
-х=2
Х=-2
Г)0,4^2х+1=0,16
(2/5)^2х+1=(2/5)^2
2х+1=2
2х=2-1
2х=1
Х=1/2 если перевести то будет 0,5
10^-х=10^2
-х=2
Х=-2
Г)0,4^2х+1=0,16
(2/5)^2х+1=(2/5)^2
2х+1=2
2х=2-1
2х=1
Х=1/2 если перевести то будет 0,5
Вас заинтересует
2 года назад
2 года назад
2 года назад
3 года назад
9 лет назад