• Предмет: Алгебра
  • Автор: dled82
  • Вопрос задан 2 года назад

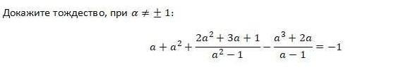
Помогите решить, пожалуйста

Приложения:

Ответы

Ответ дал: lana8300
0

Ответ:

Объяснение:

в файле

Приложения:
Вас заинтересует