• Предмет: Геометрия
  • Автор: sammble
  • Вопрос задан 2 года назад

Решите номера 5-8 пожалуйста.Заранее спасибо даю 15 балов​

Приложения:

Ответы

Ответ дал: Eron212
0

Ответ:

5) 60°

6) 35°

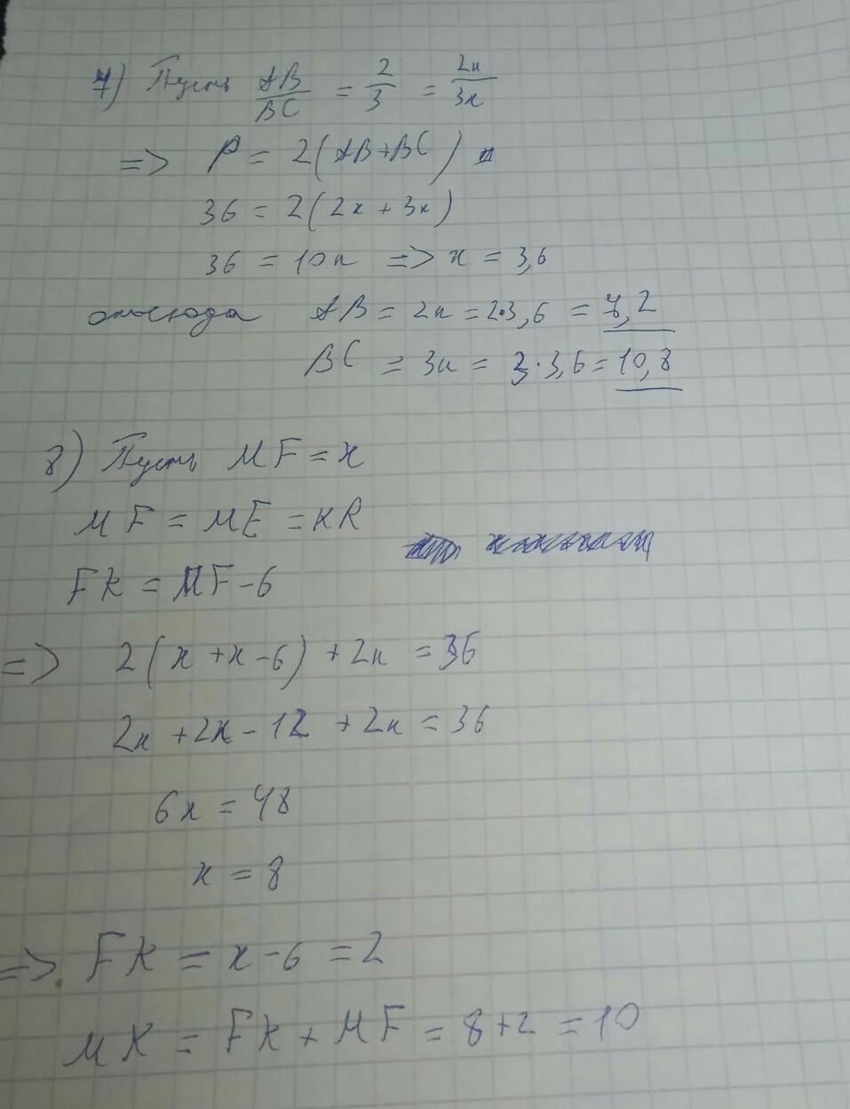
7) AB=CD=7,2 ; BC=AD=10,8

8) MF=ME=KR=8 , FK=2 , MK=ER=10

Приложения:

sammble: пж
Eron212: подожди немного
Eron212: всё
sammble: можно 5 и 6 )
sammble: пжжж
Eron212: я же написал что там без решения)
sammble: а ну ок
sammble: скину ещё 2 решиш
sammble: или зделать за балы. мне не жалко
Eron212: не, сорян)
Вас заинтересует