• Предмет: Алгебра
  • Автор: sofia17112004
  • Вопрос задан 2 года назад

проооошуу помогите решить. объясните
. очень срочно!!!​

Приложения:

Ответы

Ответ дал: namoleva
0

Ответ:

x>0

Объяснение:

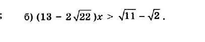
(13-2\sqrt{22} )x>\sqrt{11} -\sqrt{2} \\(11+2-2\sqrt{22} )x>\sqrt{11} -\sqrt{2} \\\\({\sqrt{11} }^2-2\sqrt{11 }\sqrt{2}  +{\sqrt{2} }^2)x>\sqrt{11} -\sqrt{2} \\(\sqrt{11} -\sqrt{2})^2x>\sqrt{11} -\sqrt{2}\\(\sqrt{11} -\sqrt{2})x>0\\x>0

Вас заинтересует