• Предмет: Математика
  • Автор: Аноним
  • Вопрос задан 2 года назад

Помогите решить задания срочно!!!!!

Приложения:

Ответы

Ответ дал: dana0
1

Ответ:

1. 965589793 - это число должно получиться

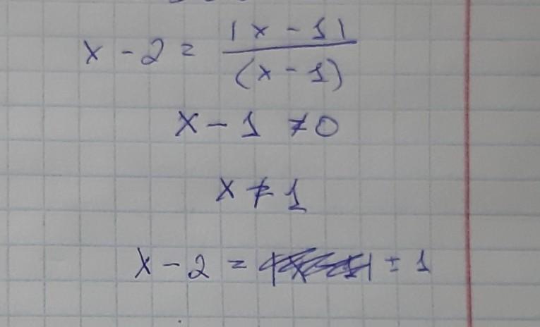
2. х=3, тк х не равен 1

3. тр АОС1=тр СОА1, уг С1АО = А1СО,

тк АО= ОС, то тр АОС - равнобедренный, уг ОАС=уг ОСА

уг С1АС = С1АО + ОАС = А1СО + ОСА = А1СА - треугольник равнобедренный, тк углы при основании равны

ЧТД

4.10*0.99*0.98=9.702

Приложения:
Вас заинтересует