• Предмет: Информатика
  • Автор: sgsc624Rust
  • Вопрос задан 2 года назад

Помогите составить алгоритм.​

Приложения:

Ответы

Ответ дал: stevehh
0

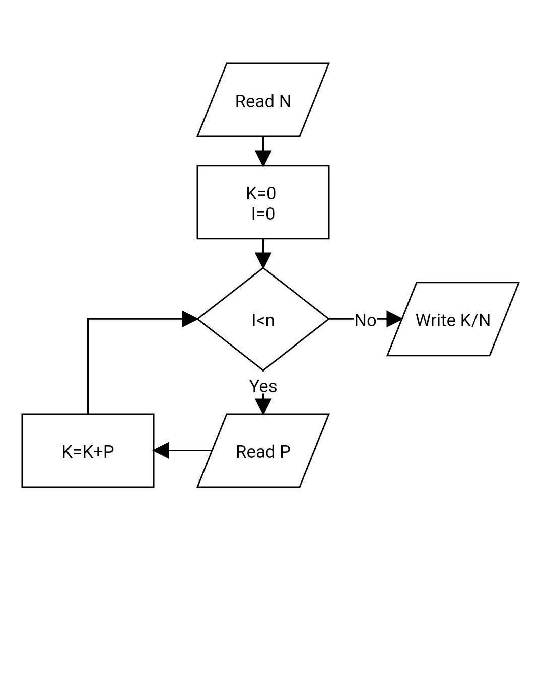
Берешь проходишь по всему массиву, и считаешь сумму чисел, потом Делиль сумму на количество элементов.

Приложения:
Вас заинтересует