• Предмет: Алгебра
  • Автор: ТуповатаяЛалка228
  • Вопрос задан 2 года назад

СРОЧНО! Даю 40 баллов! Степень с рациональным показателем
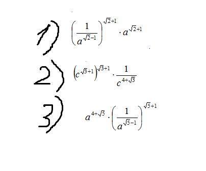
Упростите выражения:

Приложения:

Ответы

Ответ дал: mmb1
1

1 в любой степени всегда = 1

(a^m)^n = a^(m*n)

a² - b² = (a-b)(a+b)

a^m/a^n = a^(m-n)

1/a^n = a^(-n)

1.

(1/a^(√2 - 1))^(√2 + 1) = 1^(√2 - 1) /a^((√2 - 1)*(√2 + 1)) = 1/a

1/a * a^(√2 + 1) = 1/a * a * a^√2 = a^√2

ответ  a^√2

2.

(c^(√3 + 1))^(√3 + 1) = c^((√3+1)*(√3+1)) = c^(3 + 2√3 + 1) = c^(4 + 2√3)

c^(4+2√3) * 1/c^(4 + √3) = c^(4 + 2√3 - 4 - √3) = c^√3

ответ  c^√3

3.

(1/a^(√5 - 1))^(√5 + 1) = 1/a^((√5 -1 )*(√5 + 1)) = 1/a^(√5² - 1²) = 1/a^4

a^(4+√5) * 1/a^4 = a^(a+√5 - 4) = a^√5

ответ a^√5

Вас заинтересует