решите всё пожалуйста, буду очень вам блогодарен)))
(8 класс, тема Рациональные дроби)
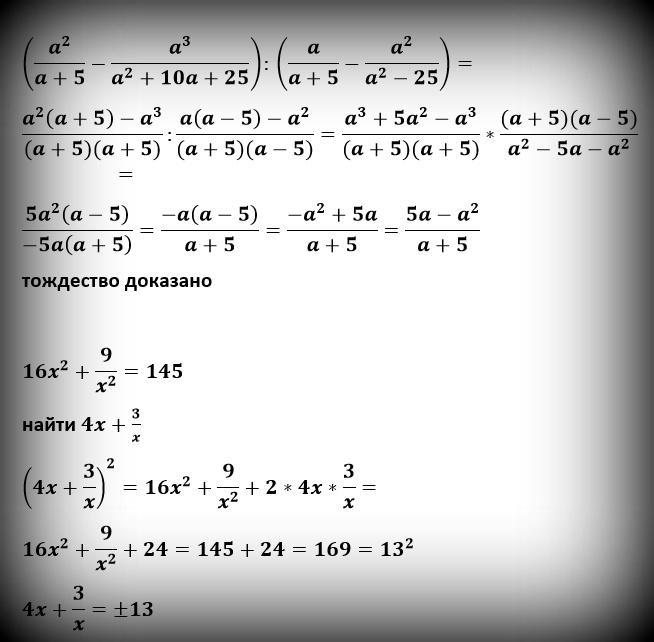
Приложения:

Ответы
Ответ дал:
4
Ответ:
Объяснение:
==============================================
Приложения:


Вас заинтересует
1 год назад
1 год назад
2 года назад
3 года назад
3 года назад
8 лет назад