Брусок массой 200г начал скользить вверх под действием силы по наклонной плоскости с ускорением 4м/с2. Найти величину этой силы. Угол наклона плоскости к горизонту 30 градусов
Ответы
Ответ дал:
0
= решение = решение = решение = решение = решение =
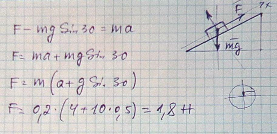
Приложения:

Ответ дал:
0
Ответ:
F = 1,8 Н
Объяснение:
Направим ось ОХ вдоль наклонной плоскости вверх.
Тогда при отсутствии силы трения по II закону Ньютона:
m·aₓ = Fₓ - Pₓ
m·aₓ = Fₓ - m·g·sin α
Fₓ = m·aₓ + m·g·sin α = m·(aₓ + g·sin α)
Fₓ = 0,200· (4+10·(1/2)) = 1,8 Н
Вас заинтересует
1 год назад
1 год назад
2 года назад
2 года назад
3 года назад
3 года назад