• Предмет: Математика
  • Автор: michaelmayers228
  • Вопрос задан 3 года назад

Решить одно дифференциальное уравнение. Помогите, пожалуйста, люди добрые.
Заранее спасибо

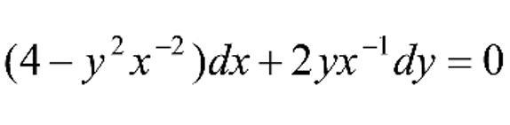
(4-y^2x^{-2})dx+2yx^{-1}dy=0

Приложения:

Ответы

Ответ дал: NNNLLL54
1

Ответ:

(4-y^2x^{-2})\, dx+2yx^{-1}\, dy=0\\\\\Big(4-\dfrac{y^2}{x^2}\Big)\, dx+2\cdot \dfrac{y}{x}\, dy=0\\\\\Big(4-\dfrac{y^2}{x^2}\Big)+2\cdot \dfrac{y}{x}\cdot \dfrac{dy}{dx}=0\\\\2\cdot \dfrac{y}{x}\cdot \dfrac{dy}{dx}=-\Big(4-\dfrac{y^2}{x^2}\Big)\\\\u=\dfrac{y}{x}\ ,\ \ y=ux\ ,\ \ y'=u'x+u\ \ ,\ \ (y'=\dfrac{dy}{dx})\\\\2u(u'x+u)=-(4-u^2)\\\\2u\cdot u'x+2u^2=u^2-4\\\\u'=\dfrac{-u^2-4}{2ux}\ \ ,\ \ \dfrac{du}{dx}=\dfrac{-(u^2+4)}{2ux}\ \ ,\ \ \int \dfrac{2u\, du}{u^2+4}=-\int\dfrac{dx}{x}\ \ ,

\int \dfrac{d(u^2+4)}{u^2+4}=-\int\dfrac{dx}{x}\\\\ln|u^2+4|=-ln|x|+lnC\\\\ln(u^2+4)=ln\dfrac{C}{x}\\\\u^2+4=\dfrac{C}{x}\\\\\dfrac{y^2}{x^2}=\dfrac{C}{x}-4\ \ \to \ \ y^2=Cx-4x^2\ \ ,\\\\y=\pm \sqrt{x(C-4x)}


Ternov21: решить неравенство
505​
https://znanija.com/task/41184706?utm_source=android&utm_medium=share&utm_campaign=question
Вас заинтересует