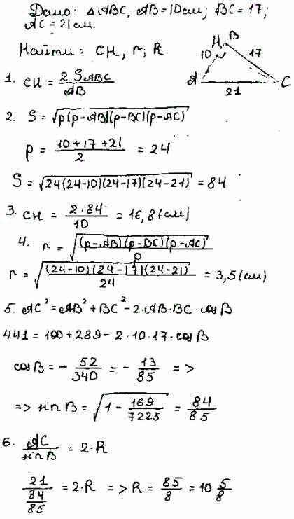
Найдите наименьшую высоту и радиус описанной окружности для треугольника со сторонами 10,17 и 11 см.
Ответы
Ответ дал:
12
Ответ:
Ответ:
Объяснение:
Смотри тут:
Приложения:

Вас заинтересует
1 год назад
3 года назад
3 года назад
8 лет назад
8 лет назад