Ответы
Ответ дал:
3
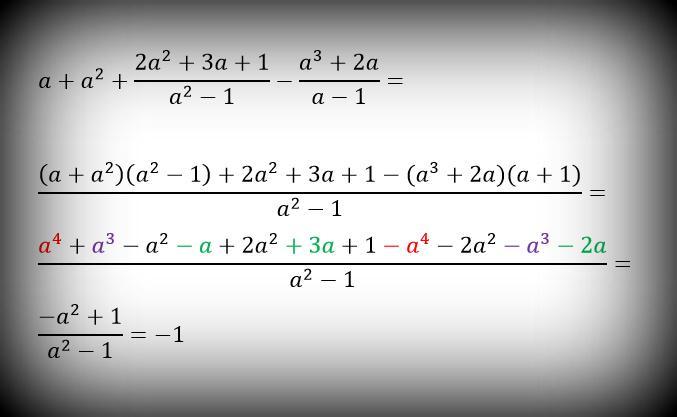
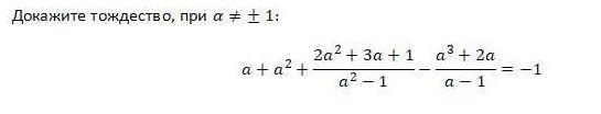
Ответ:
Объяснение:
=================================================
Приложения:

Вас заинтересует
1 год назад
1 год назад
1 год назад
3 года назад
3 года назад
8 лет назад