• Предмет: Алгебра
  • Автор: tatashe
  • Вопрос задан 2 года назад

Всем привет. Помогите с решением домашнего задания ​

Приложения:

Ответы

Ответ дал: CuteFox228
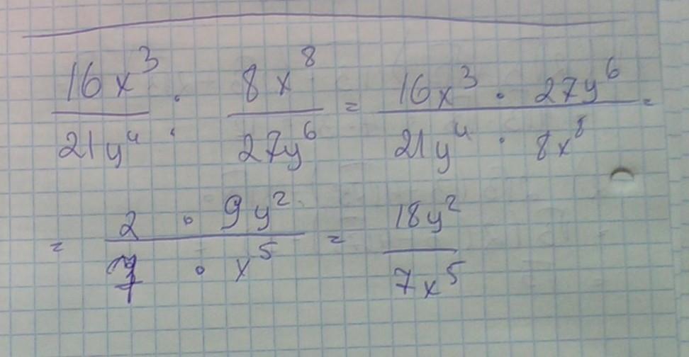
1

Ответ:

.....................

Приложения:
Вас заинтересует