• Предмет: Математика
  • Автор: com2015vlad
  • Вопрос задан 2 года назад

Срочно нужна ваша помощь
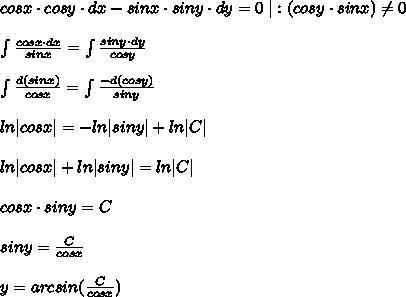
cos(x)*cos(y)dx=sin(x)*sin(y)dy

Ответы

Ответ дал: maximy06
0

Все на картинке!!!!!!!!!!!!!!!

       

Приложения:
Вас заинтересует