• Предмет: Математика
  • Автор: Ghjggyh
  • Вопрос задан 2 года назад

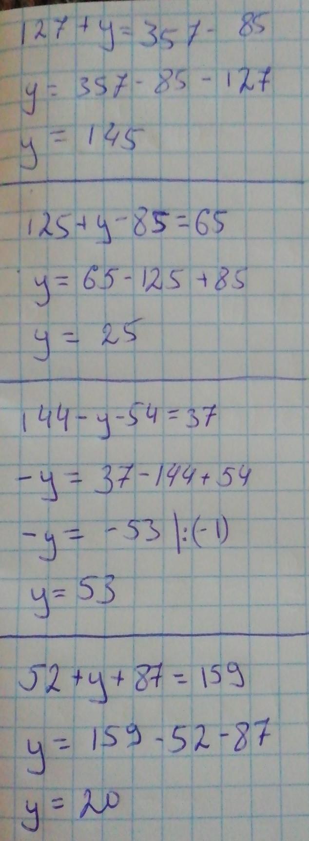
Решите уравнения: 127+y=357-85, 125+y-85=65, 144-y-54=37, 52+y+87=159. СРОЧНО!

Ответы

Ответ дал: 0465520
3

Ответ:

у=357-85-127

у=145

у=65+85-125

у=25

у=144-54-37

у=53

у=159-52-87

у=20

Пошаговое объяснение:

Ответ дал: zrittel
1

Пошаговое объяснение:

......................

Приложения:
Вас заинтересует