• Предмет: Химия
  • Автор: anna19982104
  • Вопрос задан 11 лет назад

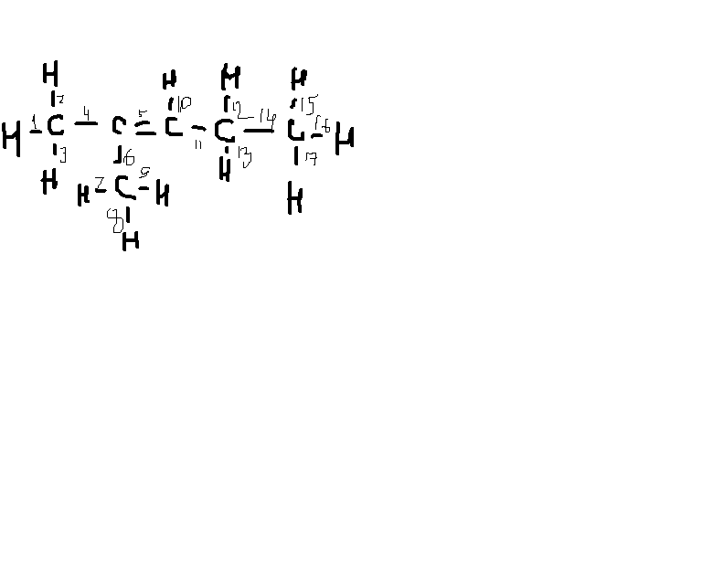
Число сигма-связей в молекуле 2-метилпентена-2 равно:
а) 10; б) 14; в) 16; г) 17; д) 22; е) 26;

Ответы

Ответ дал: Аноним
0
г)17 смотри вложение к ответу
где двойная связь только одна связь сигма другая пи

Приложения:
Вас заинтересует