Найдите периметр фигуры. Ответ запиши в виде многочлена стандартного вида и укажите его степень
Приложения:
Ответы
Ответ дал:
1
Ответ:
Объяснение:
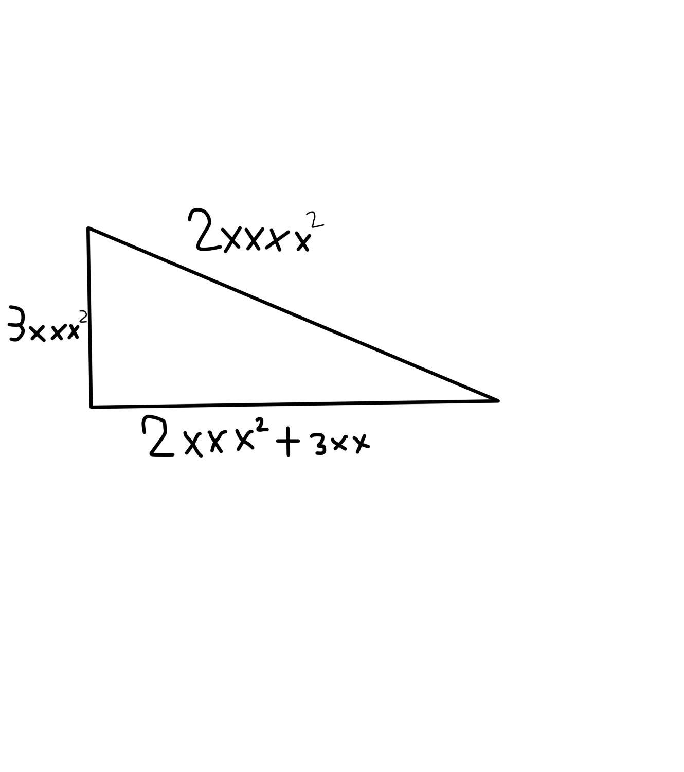
Периметр треугольника:
3xxx²+2xxx²+3xx+2xxxx²=3x⁴+2x⁴+3x²+2x⁵=2x⁵+5x⁴+3x² - этот трехчлен имеет 5-ю степень.
Вас заинтересует
2 года назад
2 года назад
2 года назад
2 года назад
3 года назад
3 года назад
9 лет назад