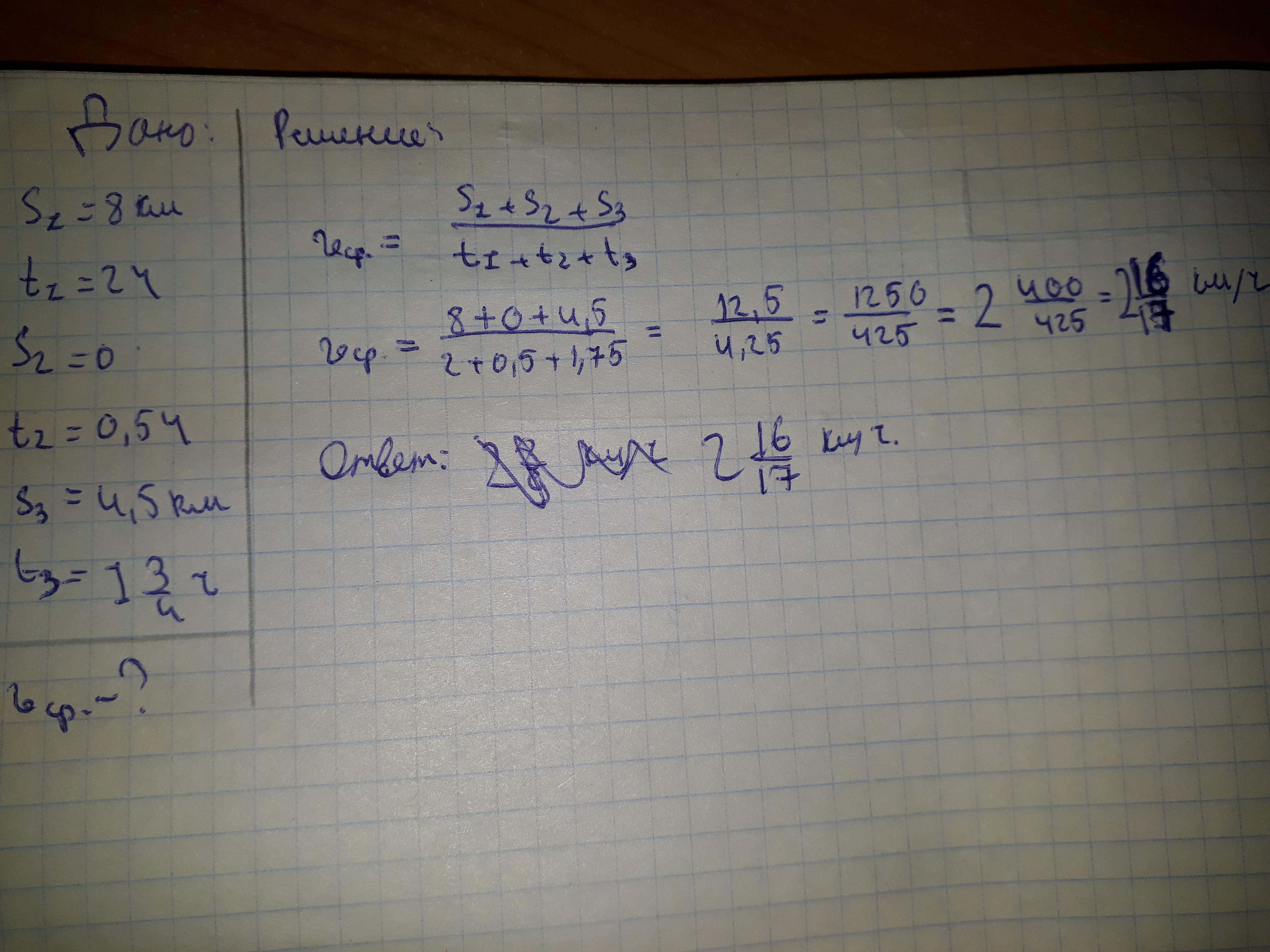
турист за два часа прошёл 8 км,после сделал остановку и отдыхал в течении 30 минут, после отдыха турист прошёл ещё 4,5 км за 1час 45 минут какова средния скорость туриста на всем пути
Ответы
Ответ дал:
0
Ответ:
Решение на фото.
Объяснение:
Приложения:

Вас заинтересует
1 год назад
1 год назад
3 года назад
8 лет назад
8 лет назад