• Предмет: Алгебра
  • Автор: lordtenohf
  • Вопрос задан 2 года назад

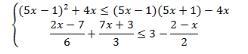
Решите систему неравенств:
(смотрите вложение)

Приложения:

Ответы

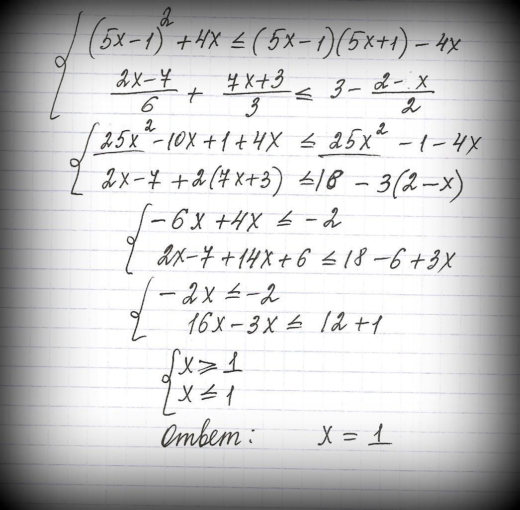
Ответ дал: tamarabernukho
3

Ответ:

x=1

Объяснение:

Приложения:
Вас заинтересует