• Предмет: Алгебра
  • Автор: ggggggggggdt
  • Вопрос задан 2 года назад

срочно дам 50 баллов
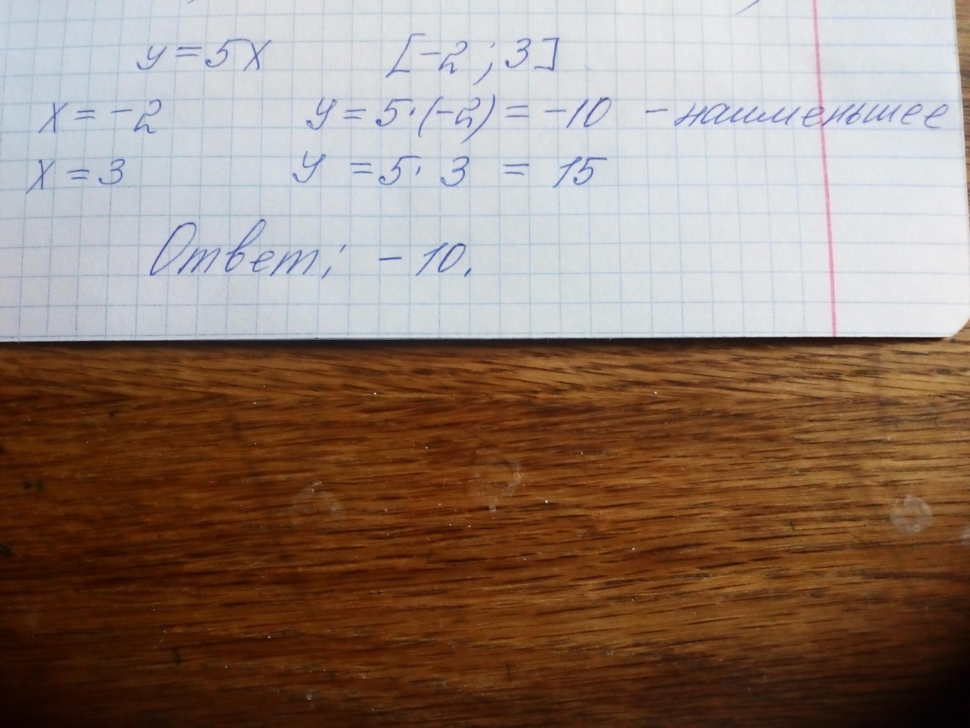
Найди наименьшее значение линейной функции y=5x на отрезке [-2;3], не выполняя построения.

Ответ:
наименьшее значение равно
.

Ответы

Ответ дал: m11m
2

Ответ:

Объяснение:

!!!!!!!!!!!!!!!!!!!!!!!!!!!!

Приложения:
Вас заинтересует