Найдите значения выражения
Приложения:

Аноним:
это дш?
Ответы
Ответ дал:
0
Ответ:
Ответ дал:
0
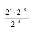
При умножении степеней степени складываются. В числителе будет 2^5-8=2^-3
При делении степени вычитаются
2^-3/2^-4=2^-3+4=2^1=2
При делении степени вычитаются
2^-3/2^-4=2^-3+4=2^1=2
Вас заинтересует
1 год назад
1 год назад
1 год назад
1 год назад
3 года назад
8 лет назад
8 лет назад