• Предмет: Алгебра
  • Автор: polinakameisha7
  • Вопрос задан 2 года назад

Помогите, пожалуйста, завтра контрольная, прорешиваю. буду благодарна, желательно на листочке ​

Приложения:

Ответы

Ответ дал: jorned
1

..........................

Приложения:

polinakameisha7: а ты в каком классе?
jorned: просто поставь вместо b любое число и проверь
jorned: например 2
jorned: 10 класс
polinakameisha7: доказать, это просто решить?
jorned: ну да
jorned: избавиться от b, чтобы оно сократилось
polinakameisha7: блин, спасибо, большое, хз как там тебя зовут,спасибо
jorned: А ты в каком классе?
polinakameisha7: в 8
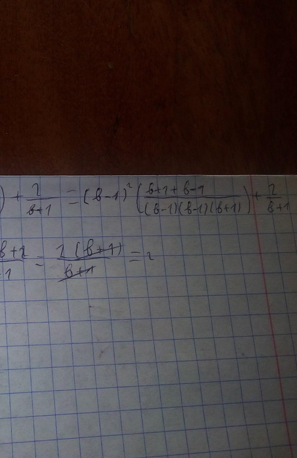
Ответ дал: mmb1
1

(b-1)²(1/(b²-2b+1) + 1/(b²-1)) + 2/(b+1) = (b-1)²(1/(b-1)² + 1/(b-1)(b+1)) + 2/(b+1) = (b-1)²/(b-1)² + (b-1)²/(b-1)(b+1) + 2/(b+1) = 1 + (b-1)/(b+1) + 2/(b+1) = 1 + (b-1+2)/(b+1) = 1 + (b+1)/(b+1) = 1+1 = 2

равно 2 всегда, независимо от b

Вас заинтересует