• Предмет: Алгебра
  • Автор: 2005lika
  • Вопрос задан 2 года назад

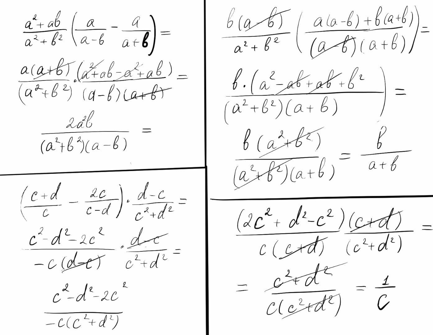
ПОМОГИТЕ ПОЖАЛУЙСТА С АЛГЕБРОЙ

Приложения:

Ответы

Ответ дал: Mathcat
2

Ответ : Надеюсь полезно

Объяснение :

Приложения:
Вас заинтересует